¿Los sueños se cumplen?
- Mateo Romero
- 3 jun 2021
- 2 Min. de lectura
Toda persona tiene sueños por cumplir de corto, mediano y largo plazo. Estos sueños son ideas aplicables que se tienen en mente para que se hagan realidad. Alguno de los ejemplos son la adquisición de propiedades, la creación de una pequeña o mediana empresa o un viaje por realizar.
La realidad nos demuestra que para cumplir los sueños debemos indagar en sus detalles mas profundos y crudos, ya que una vez que realizamos todo el estudio correspondiente y se recopiló la información necesaria para llevarlo acabo, un simple análisis de rentabilidad termina por desechar un trabajo e idea de mucho tiempo.

¿Cómo determinamos la Viabilidad de un Proyecto?
El Valor Actual Neto (VAN) o conocido como Valor Presente Neto (VPN) es un criterio de decisión en inversiones que analiza el flujo de fondos de un proyecto. Este consiste en actualizar las cobranzas y desembolsos que se realizaran en el futuro. Gracias a la Tasa de Descuento se puede disponer del valor presente de los flujos. Es una manera de intentar ver el futuro en el día de hoy.
Su formula es:

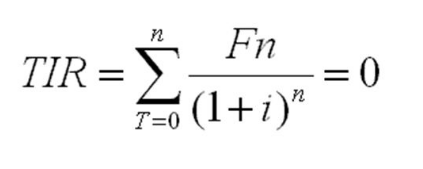
La Tasa Interna de Retorno popularmente conocida como la TIR, es la tasa de rentabilidad de un proyecto. Es el retorno que se tiene de un proyecto. En otras palabras, esta tasa nos marca el máximo que es posible endeudarse para financiar el proyecto.
Su formula es:

Su calculo es complejo manualmente. Por lo que se recomienda utilizar herramientas como Excel.

De esta forma y gracias a las Herramientas de Análisis de Rentabilidad se podrá saber, al menos financieramente, si el proyecto o idea es viable.
Bibliografía:
Resumen Unidad 4: Criterios de Decisión, Inflación y Tasa de Descuento - Lic. Verónica Pepe. Diseño, Evaluación y Gestión de Proyectos. UNTREF.



Comentarios